PHÂN TÍCH ĐẦU VÀO
Bước 1: Phân tích Tiêu đề Gốc & Xác định Từ khóa Chính
- Tiêu đề gốc: “Một ô tô có khối lượng 4 tấn chuyển động qua một chiếc cầu lồi có bán kính cong 100 m với tốc độ 72 km/h. Lấy g = 10m/s2. Áp lực của ô tô nén lên cầu khi nó đi qua điểm cao nhất (giữa cầu) là”
- Từ khóa chính/trọng tâm: một ô tô khối lượng 4 tấn
Bước 2: Phân tích Ý định Tìm kiếm (Search Intent)
- Từ khóa chính: “một ô tô khối lượng 4 tấn”
- Ý định tìm kiếm: Informational (Người dùng đang tìm kiếm thông tin, giải thích, hoặc cách giải quyết một vấn đề liên quan đến vật lý, cụ thể là bài toán về lực nén của ô tô trên cầu lồi).
Bước 3: Lựa chọn Kịch bản Viết lại
- Dựa trên ý định tìm kiếm là Informational, tôi sẽ áp dụng kịch bản viết lại chi tiết để cung cấp thông tin toàn diện, phân tích chuyên sâu và giải thích rõ ràng về chủ đề.
Việc hiểu rõ một ô tô khối lượng 4 tấn tác dụng lực như thế nào khi di chuyển qua cầu lồi là điều cần thiết trong vật lý. Bài viết này sẽ đi sâu vào phân tích các yếu tố ảnh hưởng đến áp lực của xe lên mặt cầu. Chúng ta sẽ cùng tìm hiểu về lực hướng tâm, trọng lực và cách chúng tương tác. Mục tiêu là cung cấp cái nhìn toàn diện về hiện tượng vật lý này.
Phân Tích Lực Tác Dụng Lên Ô Tô Trên Cầu Lồi
Khi một ô tô di chuyển qua một cây cầu lồi, nó chịu tác dụng của nhiều loại lực khác nhau. Việc phân tích chính xác các lực này là chìa khóa để xác định áp lực mà ô tô nén lên mặt cầu. Hai lực chính cần xem xét là trọng lực và lực hướng tâm.
Trọng Lực Của Ô Tô
Trọng lực là lực hút của Trái Đất tác dụng lên vật thể. Đối với một ô tô khối lượng 4 tấn, trọng lực được tính bằng công thức P = m.g. Trong đó, m là khối lượng của ô tô và g là gia tốc trọng trường. Khối lượng 4 tấn tương đương với 4000 kg.
Nếu lấy g = 10 m/s², trọng lực của ô tô sẽ là 4000 kg 10 m/s² = 40000 N. Lực này luôn hướng thẳng đứng xuống dưới, về phía tâm Trái Đất. Trọng lực đóng vai trò quan trọng trong việc xác định áp lực tổng thể.
Lực Hướng Tâm Khi Ô Tô Qua Cầu Lồi
Khi ô tô di chuyển trên cầu lồi, quỹ đạo của nó là một cung tròn. Điều này có nghĩa là ô tô đang thực hiện chuyển động tròn. Mọi chuyển động tròn đều cần có một lực hướng tâm để giữ vật thể trên quỹ đạo đó. Lực hướng tâm luôn hướng vào tâm của quỹ đạo tròn.
Công thức tính lực hướng tâm là F_ht = m.v²/R. Trong đó, m là khối lượng, v là tốc độ của ô tô, và R là bán kính cong của cầu. Tốc độ 72 km/h cần được đổi sang m/s để tính toán chính xác. 72 km/h tương đương với 20 m/s.
Xác Định Áp Lực Tại Điểm Cao Nhất Của Cầu
Điểm cao nhất của cầu lồi là vị trí đặc biệt trong chuyển động của ô tô. Tại đây, trọng lực và lực nén của ô tô lên cầu có mối quan hệ trực tiếp với lực hướng tâm. Áp lực của ô tô lên cầu chính là độ lớn của phản lực mà cầu tác dụng lên ô tô.
Mối Quan Hệ Giữa Các Lực
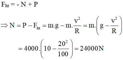
Tại điểm cao nhất của cầu, trọng lực (P) hướng xuống và phản lực (N) của cầu tác dụng lên ô tô hướng lên. Hợp lực của hai lực này chính là lực hướng tâm. Vì lực hướng tâm cũng hướng xuống (về tâm của quỹ đạo tròn), ta có phương trình: P – N = F_ht.
Từ phương trình này, chúng ta có thể suy ra áp lực N mà ô tô nén lên cầu. Áp lực N = P – F_ht. Đây là nguyên tắc cơ bản để giải quyết bài toán này.
Tính Toán Cụ Thể Áp Lực
Với khối lượng m = 4000 kg, gia tốc trọng trường g = 10 m/s², tốc độ v = 20 m/s và bán kính cong R = 100 m. Chúng ta có thể tính toán các giá trị cụ thể.
Trọng lực P = 4000 kg 10 m/s² = 40000 N.
Lực hướng tâm F_ht = 4000 kg (20 m/s)² / 100 m = 4000 400 / 100 = 16000 N.
Áp lực N = P – F_ht = 40000 N – 16000 N = 24000 N.
Sơ đồ lực tác dụng lên ô tô trên cầu lồi
Ảnh Hưởng Của Tốc Độ Và Bán Kính Cầu
Tốc độ của ô tô và bán kính cong của cầu có ảnh hưởng đáng kể đến áp lực. Tốc độ càng cao, lực hướng tâm càng lớn. Điều này dẫn đến áp lực của ô tô lên cầu càng giảm. Nếu tốc độ quá lớn, áp lực có thể bằng 0, khiến ô tô có thể bay lên khỏi mặt cầu.
Ngược lại, bán kính cong của cầu càng nhỏ (cầu càng dốc), lực hướng tâm cũng càng lớn. Điều này cũng làm giảm áp lực của ô tô lên cầu. Các kỹ sư cần tính toán cẩn thận các yếu tố này khi thiết kế cầu.
Tầm Quan Trọng Của Thiết Kế Cầu
Thiết kế cầu lồi phải đảm bảo an toàn cho các phương tiện giao thông. Việc tính toán áp lực tối đa và tối thiểu là rất quan trọng. Điều này giúp xác định giới hạn tốc độ an toàn cho phép. Nó cũng đảm bảo cầu có đủ khả năng chịu tải.
Các yếu tố như vật liệu, độ bền và hình dạng cầu đều phải được xem xét. Mục tiêu là tạo ra một cấu trúc vững chắc. Đồng thời, nó phải mang lại trải nghiệm lái xe an toàn và thoải mái.
Các Yếu Tố Khác Ảnh Hưởng Đến Áp Lực
Ngoài trọng lực và lực hướng tâm, còn có một số yếu tố khác có thể ảnh hưởng đến áp lực. Ví dụ, điều kiện mặt đường, hệ thống treo của ô tô và phân bố tải trọng. Những yếu tố này có thể gây ra sự biến đổi nhỏ trong áp lực.
Tuy nhiên, trong các bài toán vật lý cơ bản, chúng ta thường bỏ qua các yếu tố này. Tập trung vào các lực chính để đơn giản hóa mô hình. Điều này giúp người học dễ dàng nắm bắt nguyên lý cơ bản.
Minh họa chuyển động của ô tô trên cầu lồi
Ứng Dụng Thực Tiễn Của Việc Tính Toán Áp Lực
Việc tính toán áp lực của một ô tô khối lượng 4 tấn khi qua cầu lồi có nhiều ứng dụng thực tiễn. Nó không chỉ quan trọng trong thiết kế cầu đường. Nó còn hữu ích trong việc phát triển các hệ thống an toàn giao thông.
Ví dụ, các cảm biến có thể được lắp đặt trên cầu để đo áp lực. Dữ liệu này giúp theo dõi tình trạng cầu. Nó cũng có thể cảnh báo về các nguy cơ tiềm ẩn.
Kết Luận
Việc xác định áp lực của một ô tô khối lượng 4 tấn khi đi qua điểm cao nhất của cầu lồi là một bài toán vật lý cơ bản nhưng rất quan trọng. Bằng cách phân tích trọng lực và lực hướng tâm, chúng ta có thể tính toán chính xác áp lực này. Kết quả cho thấy áp lực là 24000 N. Điều này nhấn mạnh tầm quan trọng của việc hiểu các nguyên lý vật lý trong thiết kế và vận hành an toàn các công trình giao thông.
Ngày cập nhật gần nhất 21/01/2026 by Vỹ Nhân

Vỹ Nhân là chuyên viên phát triển nội dung tại Otojac24h.com, kênh thông tin chính thức của JAC Việt Nam – CN Miền Bắc. Với niềm đam mê sâu sắc đối với các dòng xe tải và xe chuyên dụng, cùng hơn 8 năm kinh nghiệm lăn lộn trong ngành ô tô.
